• Предмет: Физика
  • Автор: cherry1800
  • Вопрос задан 10 лет назад

Помогите пожалуйста. 
1.Во вре скорость тела изменяется согласно уравнению ( В = 2м/с3 ) . Определить ускорение тела через время 1,5 с после начала движения. 
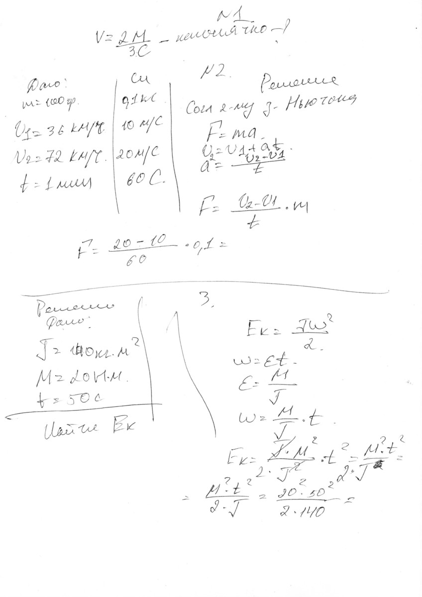
2. Какая сила действует на тело массой 100г , если его скорость движения увеличивается от 36км/год к 72км/год за время мин ?
3. Маховик , момент инерции которого J = 140кг • м2 , начал равноускоренно вращаться с состояния покоя под действием момента силы М = 20Н • м. Равноускоренного вращения продолжалось t = 50с . Определить кинетическую энергию , приобретенную маховиком .
4. В широкой части трубы вода течет со скоростью 3м / с , а в узкой - со скоростью 6м / с. Какая разница давлений создана между этими частями трубы ?
5. Найти плотность газовой смеси, состоящей из 10 г водорода и 5 г кислорода при давлении р = 150 кПа и при температуре Т = 300 К.
6. Какой может быть наименьший объем баллона , вмещающий 2,4 кг кислорода ( μ = 0,032 кг / моль ) , если стенки его при температуре 17 º С выдерживают давление р = 130 • 105 Па ?
7. Чему равна средняя энергия поступательного движения молекул азота ( μ = 0,028 кг / моль ) , если в сосуде объемом V = 2,5 м3 массой т = 2 кг он оказывает давление р = 2 • 105 Па ?

Ответы

Ответ дал: adidasa507
0
2 и третья задачи решены
Приложения:
Вас заинтересует