• Предмет: Математика
  • Автор: freiyst
  • Вопрос задан 2 года назад

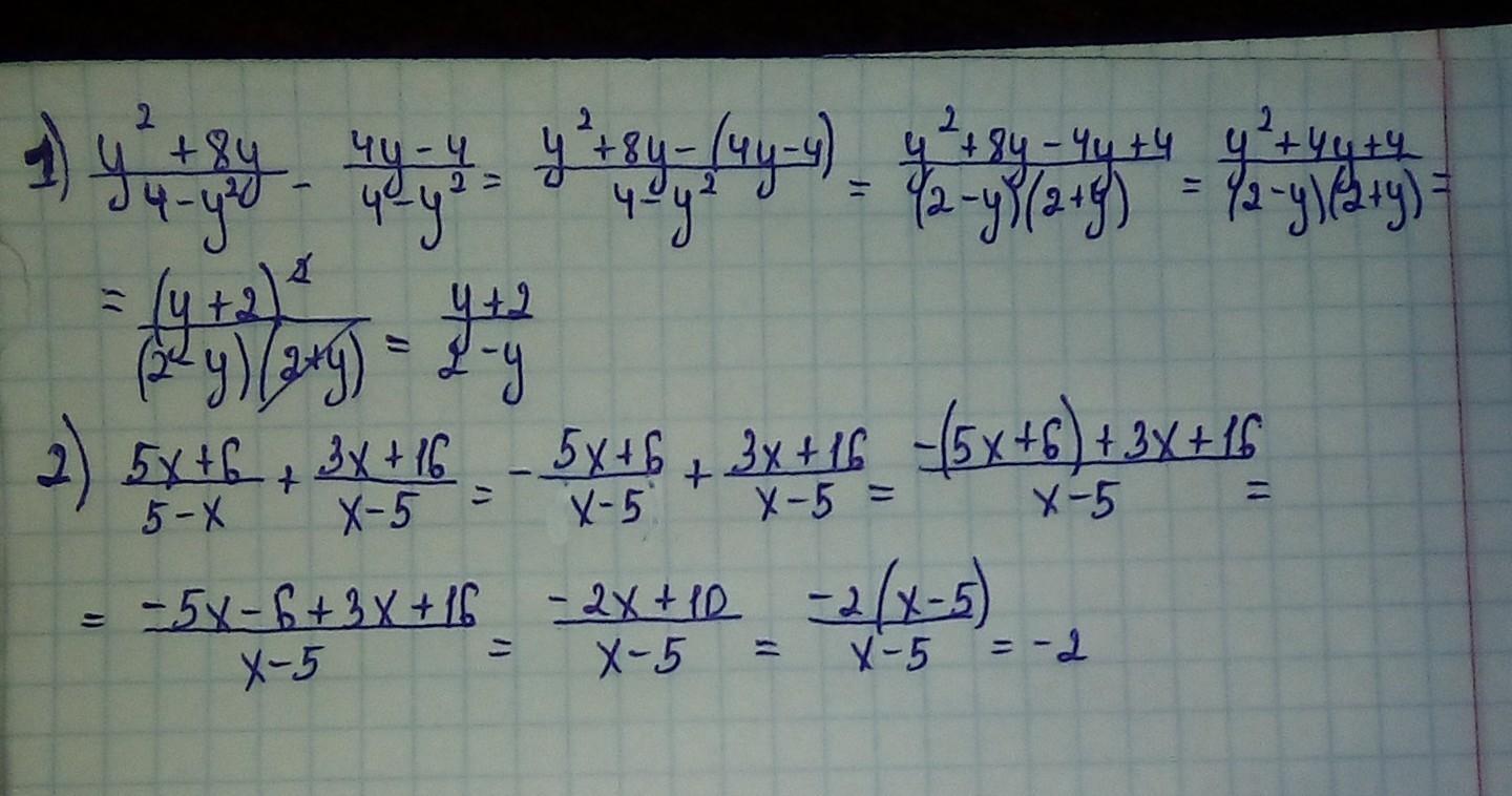
Спростить вираз допоможить будь ласка

Приложения:

Ответы

Ответ дал: alinabroskova
1

старалась норм почерком писать, надеюсь всё понятно

Приложения:
Вас заинтересует