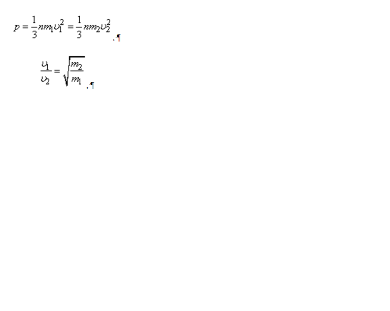
во сколько раз различаются среднеквадратичные скорости молекул двух различных идеальных газов, если масса их молекул различается в 4 раза, а температура газов одинакова
Ответы
Ответ дал:
0
Согласно
закону Авогадро число молекул в единице объема одинаково. В таком
случае мы можем написать
,
,=2
Приложения:

Вас заинтересует
2 года назад
2 года назад
8 лет назад
8 лет назад
10 лет назад
10 лет назад