Ответы
Ответ дал:
0
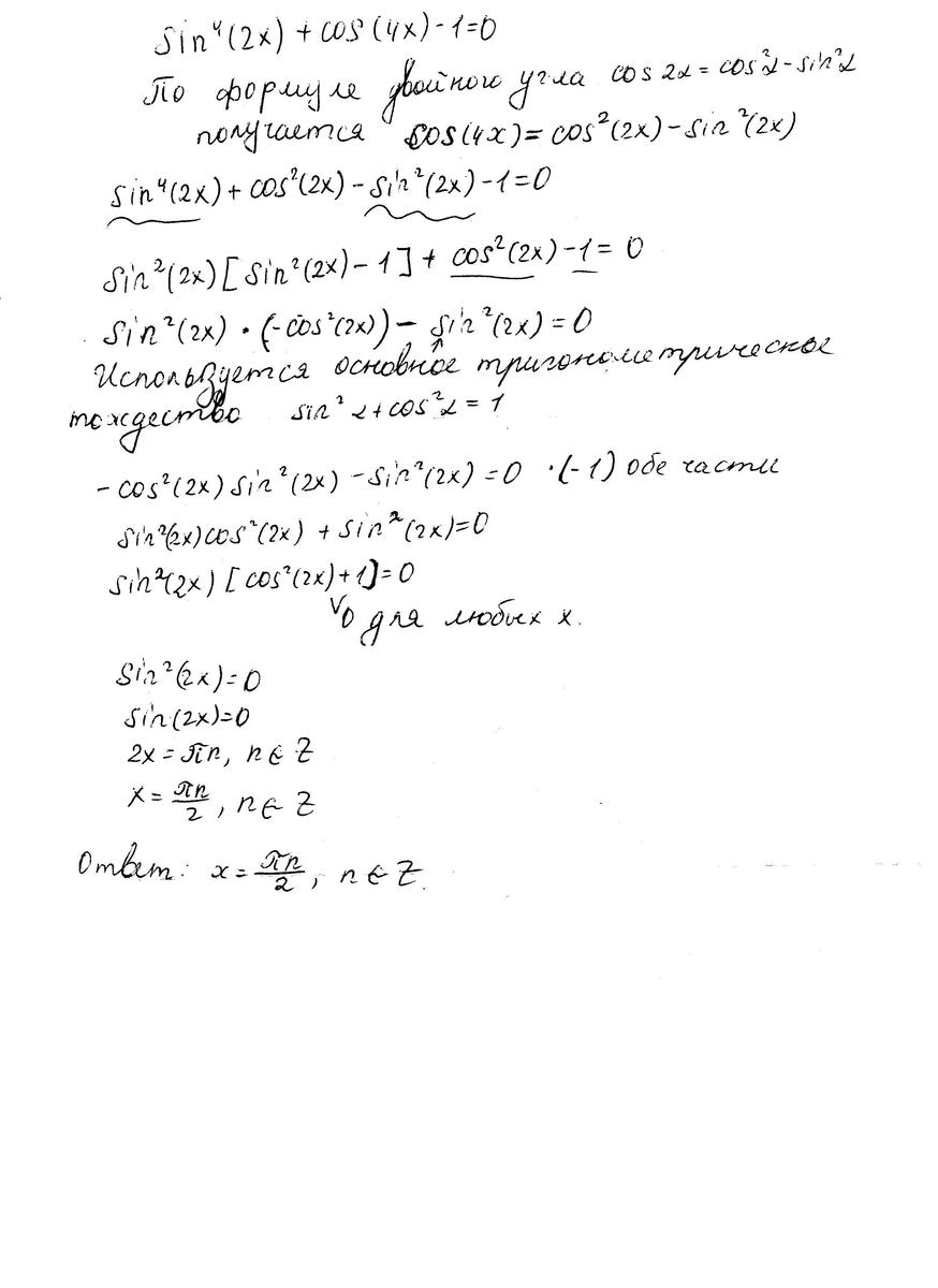
Смотри во вложении. Должно быть понятно
Приложения:

Ответ дал:
0
Спасибо! Во второй части нет решений, т. к. -1<0?
Ответ дал:
0
Второй множитель положителен при любом х. Так как квадрат дает неотрицательное число, а, прибавив единицу, получим строго положительное число. Поэтому нет смысла приравнивать его к нулю. То есть, по-вашему, квадрат не может быть отрицательным. :))
Ответ дал:
0
ок, я так и понял
Ответ дал:
0
а cos(4x) можно было разложить, как cos(2x*2)=2cos2x=2(cos^2(x)-sin^2(x))=2cos^2(x)-2sin^2(x) ?
Вас заинтересует
2 года назад
8 лет назад
10 лет назад
10 лет назад