• Предмет: Алгебра
  • Автор: denisska04102009
  • Вопрос задан 1 год назад

Помогите решить срочно за ночь
только 1 вариант!!​

Приложения:

Ответы

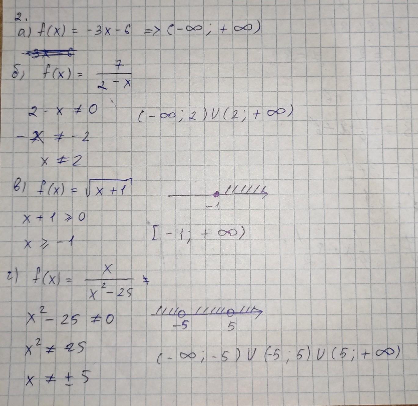
Ответ дал: Аноним
0

Ответ:

задания 1,2,3,4,5

............

Приложения:

denisska04102009: спасибо но самое сложное для меня 3
denisska04102009: не знаешь как решить?
Аноним: решила всех, кроме 6ого
Аноним: надеюсь правильно написала слова на украинском, хотя я сама казашка
Аноним: ой там в 3 задании ответ первого примера будет [-3;+беск.)
denisska04102009: спасибо большое
denisska04102009: лучшая
Аноним: всегда пожалуйста)
Вас заинтересует