Ответы
Ответ дал:
0
Ответ 1, пошаговые действия на фото. Если нужно срочно, скачай photomath, поможет)
Приложения:





Ответ дал:
0
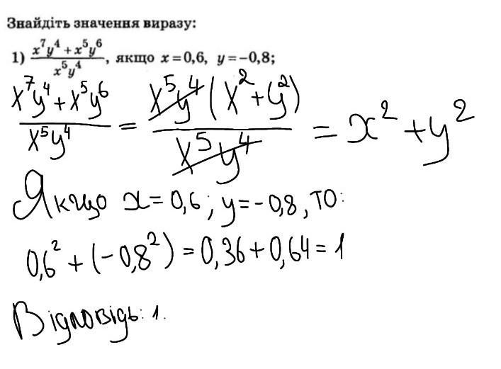
Ответ:
Значення виразу буде 1.
Приложения:

Вас заинтересует
1 год назад
2 года назад
2 года назад
8 лет назад