• Предмет: Математика
  • Автор: ininneta
  • Вопрос задан 2 года назад

допоможіть будь ласка​

Приложения:

Ответы

Ответ дал: iramazurk
0

Пошаговое объяснение:

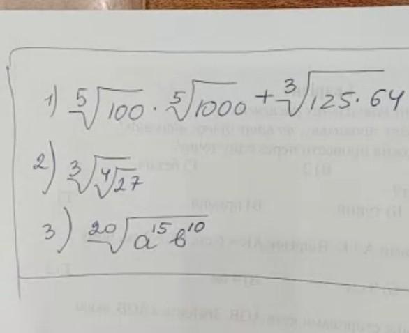
⁵√100 * ⁵√1000 + ³√(125 * 64) =

⁵√(100 * 1000) + ³√(5³ * 4³) =

⁵√100000 + 5 * 4 = 10 + 20 = 30

³√⁴√27 = ¹²√27 = ¹²√3³ = ⁴√3

²⁰√а¹⁵в¹⁰ = ²⁰√(а³в²)⁵ = ⁴√а³в²

Вас заинтересует