• Предмет: Геометрия
  • Автор: sskam
  • Вопрос задан 1 год назад

Знайди довжини сторін трикутника, вершини якого мають координати: A (-6; 5), B (14; 5), C (-6; -7)

Ответы

Ответ дал: ClaudeFrollo
1

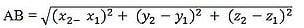
Відповідь:

Пояснення:

Формулу обчислення додав файлом
Значення в третьому - норма, можеш спробувати винести множник за значення корення, але і так норм
! - корінь*

1) АС = !(-6 + 6)^2 + (-7 - 5)^2 = 2
2) AB = !(14+6)^2 + (5+5)^2 = 20
3) CB = !(-6 - 14)^2 + (-7 - 5)^2 = !544

Приложения:

sskam: ОГРОМНОЕ СПАСИБО
Вас заинтересует