• Предмет: Математика
  • Автор: ferhogogol
  • Вопрос задан 2 года назад

ДАЮ 30 БАЛЛОВ ЗА ОТВЕТ ​

Приложения:

Ответы

Ответ дал: GennadyVideo1254
0

Ответ: Дивимось пояснення

Пошаговое объяснение:

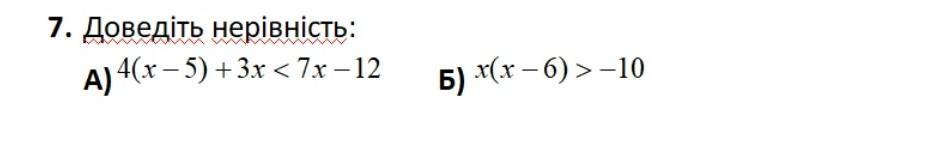
А)

4(x-5)+3x<7x-12

4x-20+3x<7x-12

7x-20<7x-12

-20<-12

Нерівність правильна

Б)

x(x-6)>-10

x^2-6x>-10

x^2-6x+10>0

x^2-6x+10=0

x^2-6x+10>0

Нерівність правильна

Вас заинтересует