• Предмет: Алгебра
  • Автор: 3225271
  • Вопрос задан 2 года назад

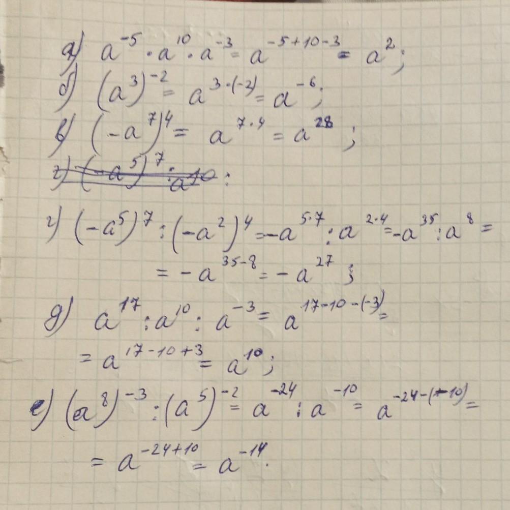
2. Подай у вигляді степеня. a) a ^ - 5 * a ^ 10 * a ^ - 3

б) (a^3)^-2

в)(-a^7)^4

г)(-a^5)^7:(-a^2)^4

д)a^17:a^10:a^-3

e)(a^8)^-3:(a^5)^-2

не тільки відповідь, а також розв'язання

СРОЧНО

Ответы

Ответ дал: Dmitry1986
2

Вложение фото. Ваш ответ.

Приложения:
Вас заинтересует