• Предмет: Геометрия
  • Автор: marileybl69
  • Вопрос задан 2 года назад

ПОМОГИТЕ СРОЧНО НАДО

Приложения:

Ответы

Ответ дал: fizikyadershik68
1

Ответ: 20.

Объяснение:

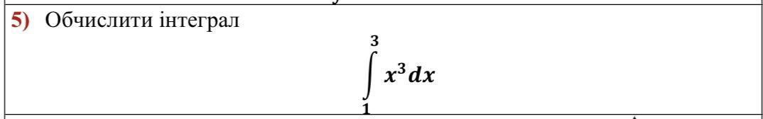
Здравствуйте, спасибо за задачу. На самом деле очень люблю интегралы, это моя любимая тема после комплексных чисел. Решение данного определённого интеграла предоставлено на фотографии ниже, для начала мы находили неопределённый интеграл возвращая пределы интегрирования. Далее мы использовали всем известную формулу Ньютона-Лейбница или же как её называют основной теоремой анализа, она позволяет давать соотношение между взятием интеграла великого Бернхарда Римана и вычесление первообразной.

С уважением, Владимир

Приложения:

marileybl69: Спасибо Вам большое, зайдите пожалуйста на мой профиль, там есть ещё задачи в которых нуждаюсь помощи:)
Вас заинтересует