• Предмет: Алгебра
  • Автор: timkuna
  • Вопрос задан 2 года назад

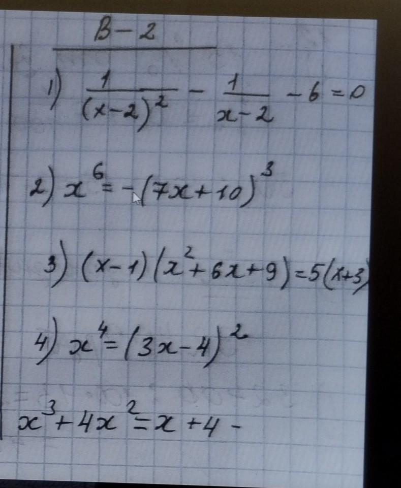
решите пожалуйста срочно нужно,желательно прикрепите решение все на листочке​

Приложения:

Ответы

Ответ дал: marianasargsyan0904
0

Ответ:

1)x1=3÷2

x3=7÷3

2)x1=-4

x2=-3

x3=2

3)x1=-4

x2=1

Вас заинтересует