Ответы
Ответ дал:
2
Ответ:
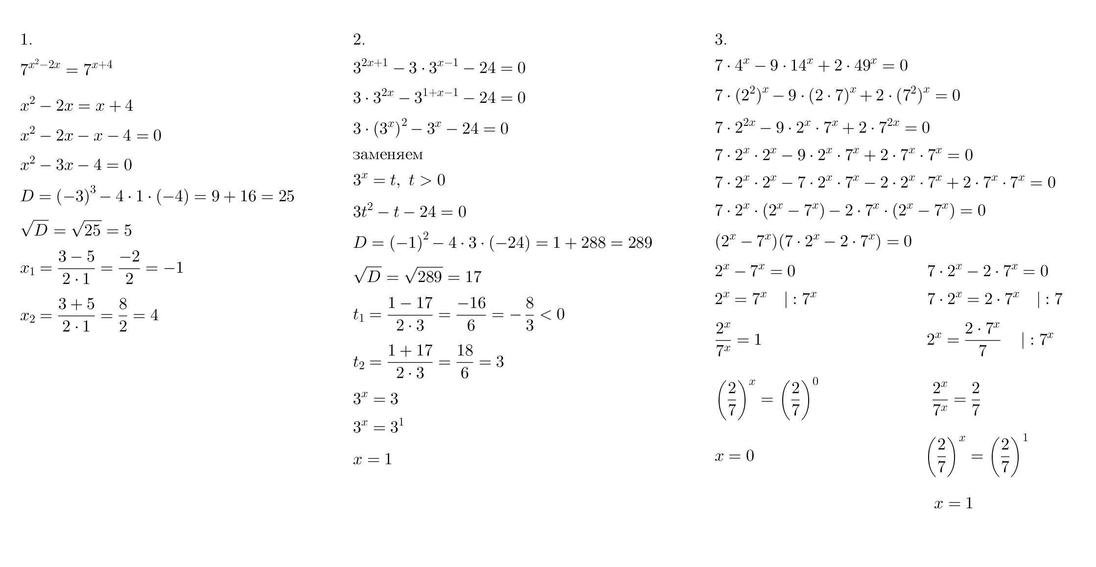
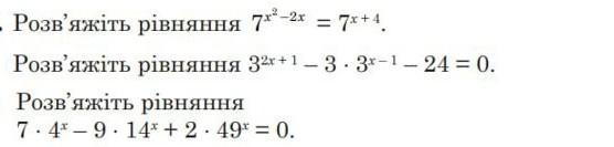
1.
2.
3.
Объяснение:
1.
2.
заменяем
3.
Приложения:

7x8:
Извините, в 1. была ошибка, уже исправилa.
Вас заинтересует
1 год назад
1 год назад
1 год назад
1 год назад
2 года назад
8 лет назад