Является ли γ рациональной?
-------------------------------------------------------------
В ответе написать пошаговое решение.
Приложения:

Reshalotor:
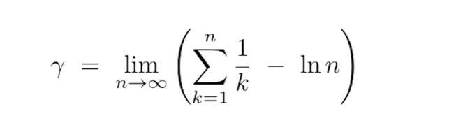
Подсказка: Значение γ было вычислено до нескольких тысяч знаков после запятой, первые четыре из которых -- 0,5772. Она достаточно широко используется в математике, в том числе вместе с другим числом Эйлера -- e. Согласно теории цепных дробей, если постоянная Эйлера-Маскерони является рациональной дробью, то ее знаменатель должен быть больше 10 в 242 080 степени. Пользуйтесь)
Ответы
Ответ дал:
1
Ответ:
ха дурачок
Пошаговое объяснение:
Вас заинтересует
1 год назад
1 год назад
1 год назад
1 год назад
2 года назад