Ответы
Ответ дал:
0
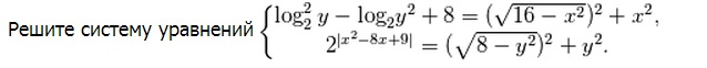
Рассмотрим функцию
Так же
Функция
это вертикальная прямая.
и вторая так же вертикальная прямая
откуда получаем
Ответ дал:
0
ОДЗ неверно указано
Ответ дал:
0
да забыл что логарифм
Ответ дал:
0
и у неверно найден, нам подходит только 1/4
Ответ дал:
0
я быстро решил , вот и ошибки
Ответ дал:
0
Решение на фото, надеюсь видно.
Приложения:

Вас заинтересует
2 года назад
2 года назад
8 лет назад
10 лет назад
10 лет назад