• Предмет: Математика
  • Автор: Yn1
  • Вопрос задан 2 года назад

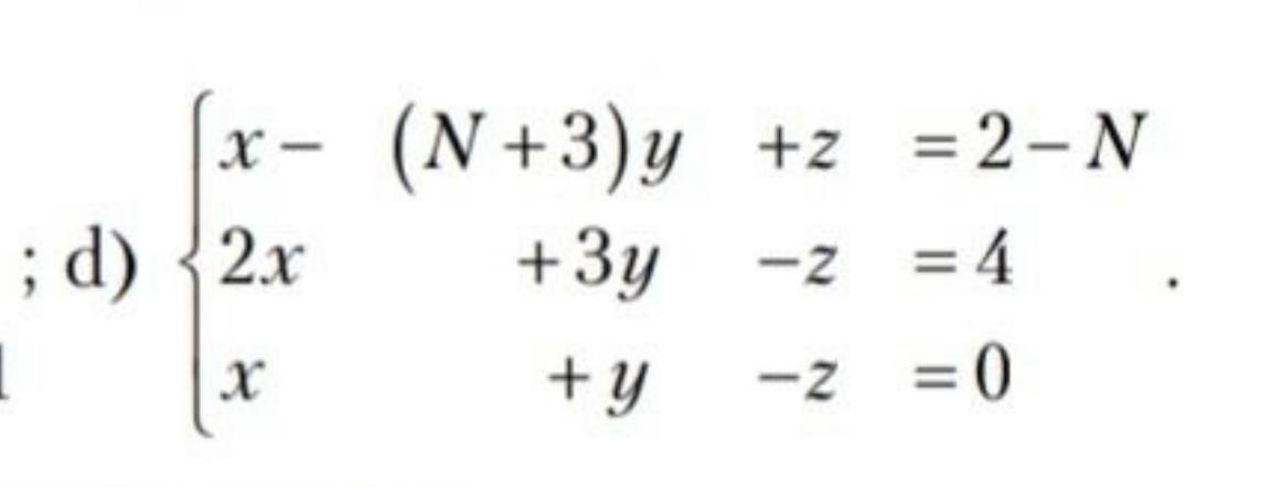
Розвʼяжіть за допомогою методом Крамера та гауса

Приложения:

dprisaznuk855: Відповідь:
брат есть один очень крутой сайт там можно сразу такое решии

Ответы

Ответ дал: dprisaznuk855
0

Відповідь:

Покрокове пояснення:

Вас заинтересует