• Предмет: Математика
  • Автор: fazsnfazil
  • Вопрос задан 2 года назад

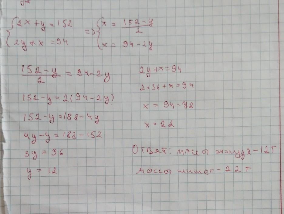
= i-a Виконай завдання. Маса двох ялинових шишок і одного жолудя становить 152 г, а маса двох жолудів і однієї ялинової шишки — 94 г. -​

Ответы

Ответ дал: ademautebaliyeva
0

Ответ:

х-масса 1 шишки

у-масса 1 желудя

Приложения:
Вас заинтересует