• Предмет: Математика
  • Автор: MrHedicheck
  • Вопрос задан 1 год назад

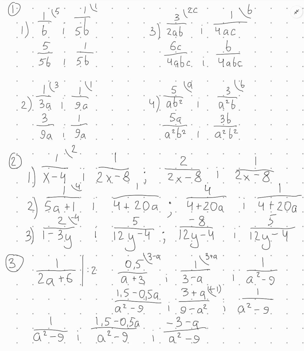
Сделайте задания на фото СРОЧНО ДАЮ 100 БАЛЛОВ

Приложения:

Ответы

Ответ дал: dulzura
0

Ответ:

все на фото ..................

Приложения:
Вас заинтересует