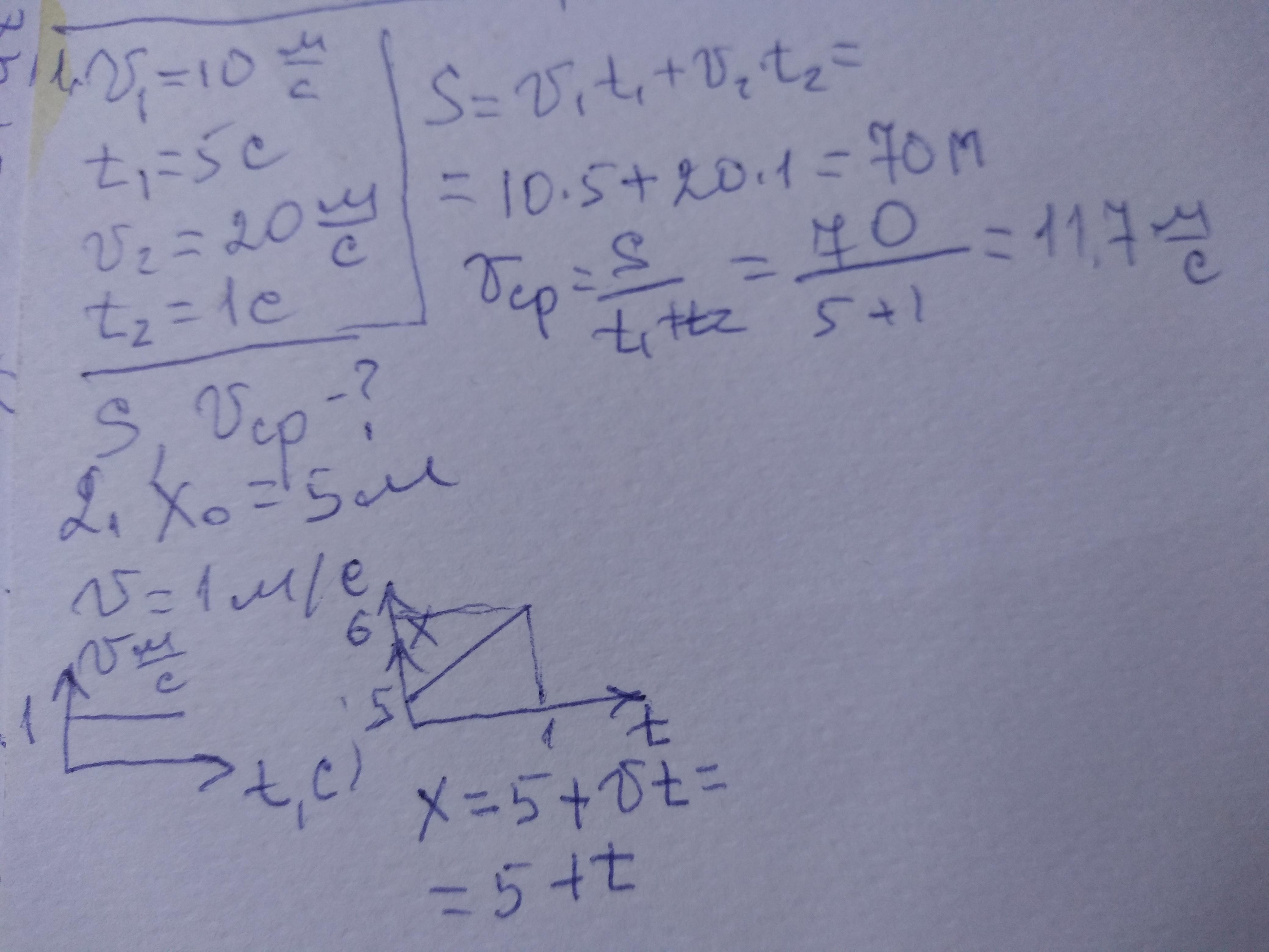
1.по графику,данному на рис. 25,определите путь,пройденный телом,и среднюю скорость.
2.тело в начальный момент времени находилось в точке с коорденатой 5 м. постройте график зависимости v(t),l(t),x(t),если тело движется со скоростью 1м/с в направлении оси 0x.
Приложения:

Ответы
Ответ дал:
6
Ответ:
см фото
Объяснение:
Приложения:

svetlanaa70:
здравствуйте, а можете пожалуйста помочь с физикой?
Вас заинтересует
1 год назад
1 год назад
1 год назад
2 года назад
2 года назад
8 лет назад