• Предмет: Алгебра
  • Автор: dianqx
  • Вопрос задан 1 год назад

Допоможіть будь ласка! Розпишіть так, щоб вчителька зрозуміла

Приложения:

Ответы

Ответ дал: 7x8
0

Ответ:

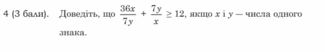
\frac{36x}{7y}+\frac{7y}{x}\geq 12

Объяснение:

\frac{36x}{7y}+\frac{7y}{x}\geq 12\\\\\frac{36x}{7y}+\frac{7y}{x}-12\geq 0\\\\\frac{36x\cdot x}{7xy}+\frac{7y\cdot 7y}{xy}-\frac{12\cdot 7xyxy}{7xy}\geq 0\\\\\frac{36x^2}{7xy}+\frac{49y^2}{xy}-\frac{84xy}{7xy}\geq 0\\\\\frac{36x^2+49y^2-84xy}{7xy}\geq 0\\\\\frac{(6x)^2-84xy+(7y)^2}{7xy}\geq 0\\\\\frac{(6x-7y)^2}{7xy}\geq 0

x,y - числа одного знака

чисельник: квадрат будь-якого числа є невід’ємним числом.

знаменник: добуток двох чисел одного знака є додатним числом.

Частка невід’ємного числа на додатне є невід’ємним числом.


dianqx: Дякую!!!!
Вас заинтересует