НЕГАЙНО!
все на фото
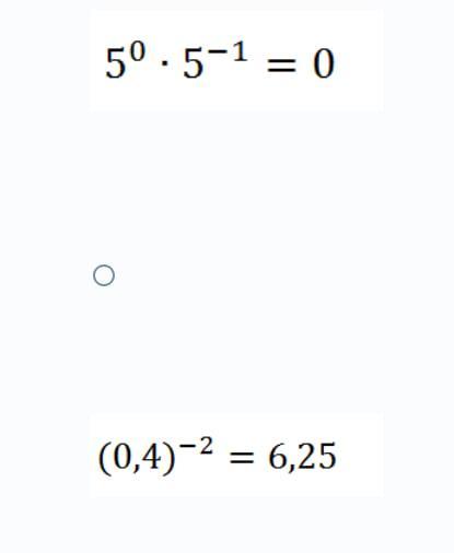
2 та 3 фото 1 завдання потрібно знайти правильну рівність
Приложения:
Аноним:
напиши свій інст, там допоможу з вирішенням
Ответы
Ответ дал:
1
Ответ:
12500=1,25*10⁴
.......................
Вас заинтересует
2 года назад
2 года назад
2 года назад
2 года назад
3 года назад
3 года назад
9 лет назад
9 лет назад