Ответы
Ответ дал:
2
Ответ:
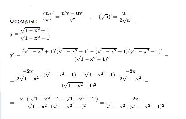
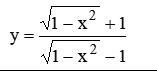
Найти производную дроби .
Формулы : .
Приложения:

Вас заинтересует
1 год назад
1 год назад
1 год назад
2 года назад
8 лет назад
8 лет назад