Ответы
                                            Ответ дал: 
                                                                                    
                                        
                                            
                                                
                                                
                                                
                                                    2
                                                
                                            
                                        
                                    ответ:
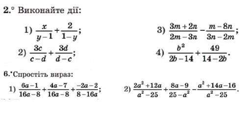
фото 1 номер 2 і номер 6(1)
фото 2 номер 6 (2)
Объяснение:
дуже не впевнена на рахунок 2 прикладу номера 6. сподіваюсь що все правильно, вибачте якщо ні (
Приложения:
                     
                             
                            Вас заинтересует
                
                        1 год назад
                    
                
                        1 год назад
                    
                
                        1 год назад
                    
                
                        1 год назад
                    
                
                        2 года назад
                    
                
                        8 лет назад
                    
                