• Предмет: Математика
  • Автор: kp481
  • Вопрос задан 2 года назад

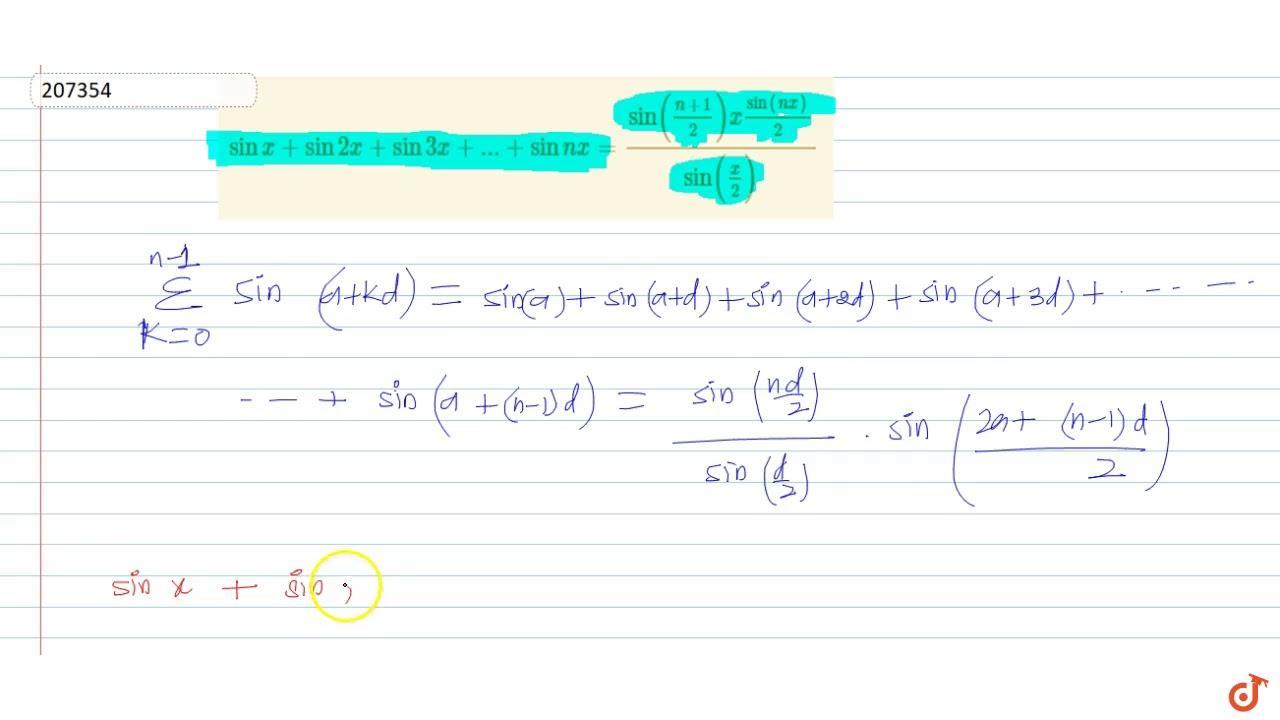
Перетворіть на добуток:
sin(x)+sin(2x)+sin(3x)+...+sin(nx);
cos(x)+cos(2x)+cos(3x)+...+cos(nx).

Ответы

Ответ дал: veronikabishko
0

Ответ:но Может бить не верно

Пошаговое объяснение:

Приложения:

kp481: Я подставил n=3 и x=π/2 – результаты не сошлись.
Вас заинтересует