• Предмет: Математика
  • Автор: wiei0101
  • Вопрос задан 2 года назад

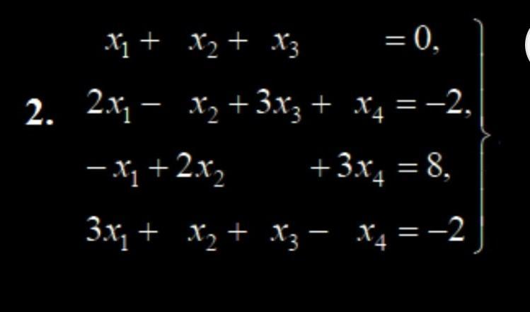
Исследовать на совместимость и в случае совместимости решить​

Приложения:

Ответы

Ответ дал: rixsivoyevasadboy
0

Ответ:

2937392738392739462936384

Пошаговое объяснение:

адчлкжаочдаоялврязиудярввжовщпдщата

Вас заинтересует