Ответы
Ответ дал:
0
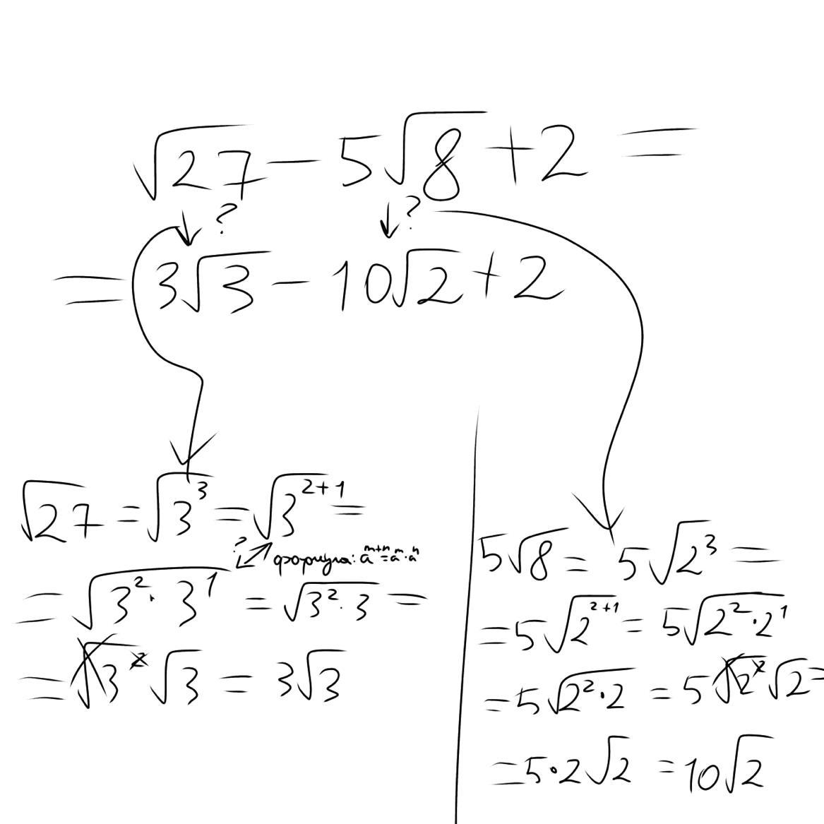
ответ: 3✓3-10✓3+2
как я решал цифры с корнями объяснил внизу рисунка
как я решал цифры с корнями объяснил внизу рисунка
Приложения:

Ответ дал:
0
Объяснение:
√27 - 5√8 + 2 = √(9 * 3) - 5√(4 * 2) + 2 =
3√3 - 2*5√2 + 2 = 3√3 - 10√2 + 2
Вас заинтересует
1 год назад
1 год назад
1 год назад
1 год назад
2 года назад
2 года назад
8 лет назад
8 лет назад