• Предмет: Математика
  • Автор: kirilkazimir041006
  • Вопрос задан 2 года назад

помогите плз САМОСТІЙНА РОБОТА No 1

Тема: Матриці
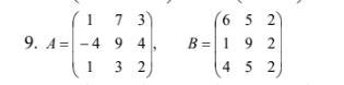
Завдання. Дано дві матриці А та В. Обчислити:

Приложения:

Ответы

Ответ дал: tertipl048
0

Ответ:

1) =6ab

2)хз

3)=4А+b

4)2B-A

9),хз

Вас заинтересует