Ответы
Ответ дал:
0
Ответ:
Объяснение:
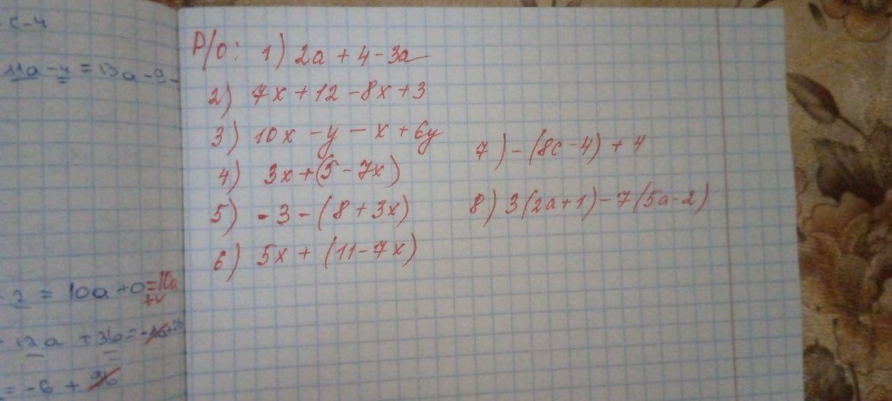
1) 2a+4-3a=4-a
2)7x+12-8x+3=15-x
3)10x-y-x+6y=9x+5y
4)3x+(5-7x)=5-4x
5)-3-(8+3x)=-11-3x
6)5x+(11-7x)=11-2x
7)-(8c-4)+4=-8c+8
8)3(2a+1)-7(5a-2)=6a+3-35a+14=17-29a
Ответ дал:
1
1) 2a+4-3a=4-a
2)7x+12-8x+3=15-x
3)10×-y-×+6y=9×+5y
4)3x+(5-7x)=5-4x
5) -3-(8+3x)=-11-3x
6)5x+(11-7x)=11-2x
7)-(8c-4)+4=-8c+8
8)3(2a+1)-7(5a-2)=6a+3-35a+14=17-29a
2)7x+12-8x+3=15-x
3)10×-y-×+6y=9×+5y
4)3x+(5-7x)=5-4x
5) -3-(8+3x)=-11-3x
6)5x+(11-7x)=11-2x
7)-(8c-4)+4=-8c+8
8)3(2a+1)-7(5a-2)=6a+3-35a+14=17-29a
Вас заинтересует
2 года назад
2 года назад
2 года назад
3 года назад
3 года назад
8 лет назад