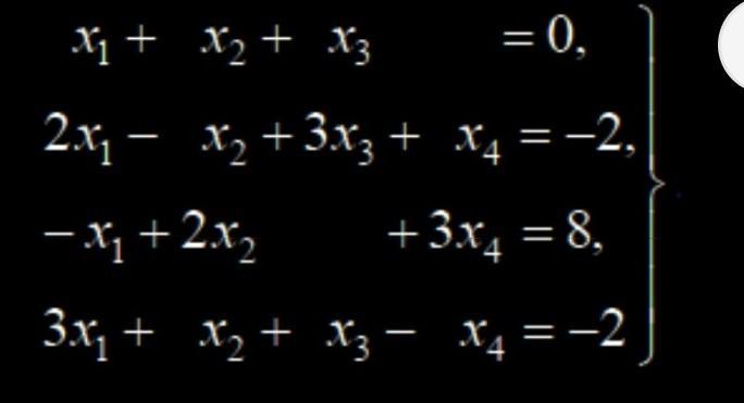
Проверить матрицу на совместимость, если совм. то решить
Приложения:

Аноним:
напишіть свій інст, там допоможу з вирішенням
Ответы
Ответ дал:
0
Ответ:
13839273838384974(464
Пошаговое объяснение:
влалвлвопжплылвщочлаалавд
Вас заинтересует
1 год назад
1 год назад
2 года назад
2 года назад
8 лет назад
8 лет назад