Ответы
Ответ дал:
1
Ответ: -a корень15 b корень 12
Объяснение:
Ответ дал:
2
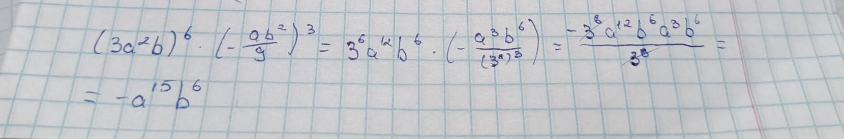
Ответ:
Решение на фото!! Надеюсь помогла^^
Объяснение:
1) Возводим в степень
2) перемножаем
3) скоращаем
4) и снова перемножаем
Приложения:

ostapsvichar11:
дякую
Вас заинтересует
1 год назад
1 год назад
1 год назад
1 год назад
2 года назад
2 года назад
8 лет назад