Ответы
Ответ дал:
0
Ответ:
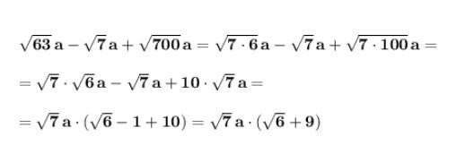
Упростить выражение .
Приложения:

Вас заинтересует
1 год назад
1 год назад
1 год назад
2 года назад
2 года назад