• Предмет: Алгебра
  • Автор: vortexplay414
  • Вопрос задан 1 год назад

доведіть тотожність ​

Приложения:

Ответы

Ответ дал: NNNLLL54
2

Ответ:

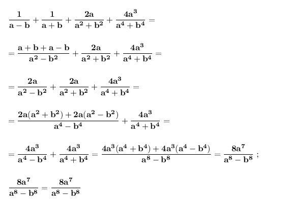
Доказать тождество .

\bf \displaystyle \frac{1}{a-b}+\frac{1}{a+b}+\frac{2a}{a^2+b^2}+\frac{4a^3}{a^4+b^4}=\frac{8a^7}{a^8-b^8}     .

Приводим дроби к общему знаменателю. Применяем формулу

разности квадратов :  \bf (a-b)(a+b)=a^2-b^2\ \ ,  

\bf (a^2-b^2)(a^2+b^2)=a^4-b^4\ \ ,\ \ \ (a^4-b^4)(a^4+b^4)=a^8-b^8\ \ .    

\bf \displaystyle \frac{1}{a-b}+\frac{1}{a+b}+\frac{2a}{a^2+b^2}+\frac{4a^3}{a^4+b^4}=\\\\\\=\frac{a+b+a-b}{a^2-b^2}+\frac{2a}{a^2+b^2}+\frac{4a^3}{a^4+b^4}=\\\\\\=\frac{2a}{a^2-b^2}+\frac{2a}{a^2+b^2}+\frac{4a^3}{a^4+b^4}=\\\\\\=\frac{2a(a^2+b^2)+2a(a^2-b^2)}{a^4-b^4}+\frac{4a^3}{a^4+b^4}=\\\\\\=\frac{4a^3}{a^4-b^4}+\frac{4a^3}{a^4+b^4}=\frac{4a^3(a^4+b^4)+4a^3(a^4-b^4)}{a^8-b^8}=\frac{8a^7}{a^8-b^8}\ ;\\\\\\\frac{8a^7}{a^8-b^8}=\frac{8a^7}{a^8-b^8}        

Тождество доказано .

Приложения:
Вас заинтересует