• Предмет: Алгебра
  • Автор: vp2393709
  • Вопрос задан 2 года назад

ПОМОГИТЕ ПОЖАЛУЙСТА СРОЧНО ​

Приложения:

Ответы

Ответ дал: parus77
1

Ответ:

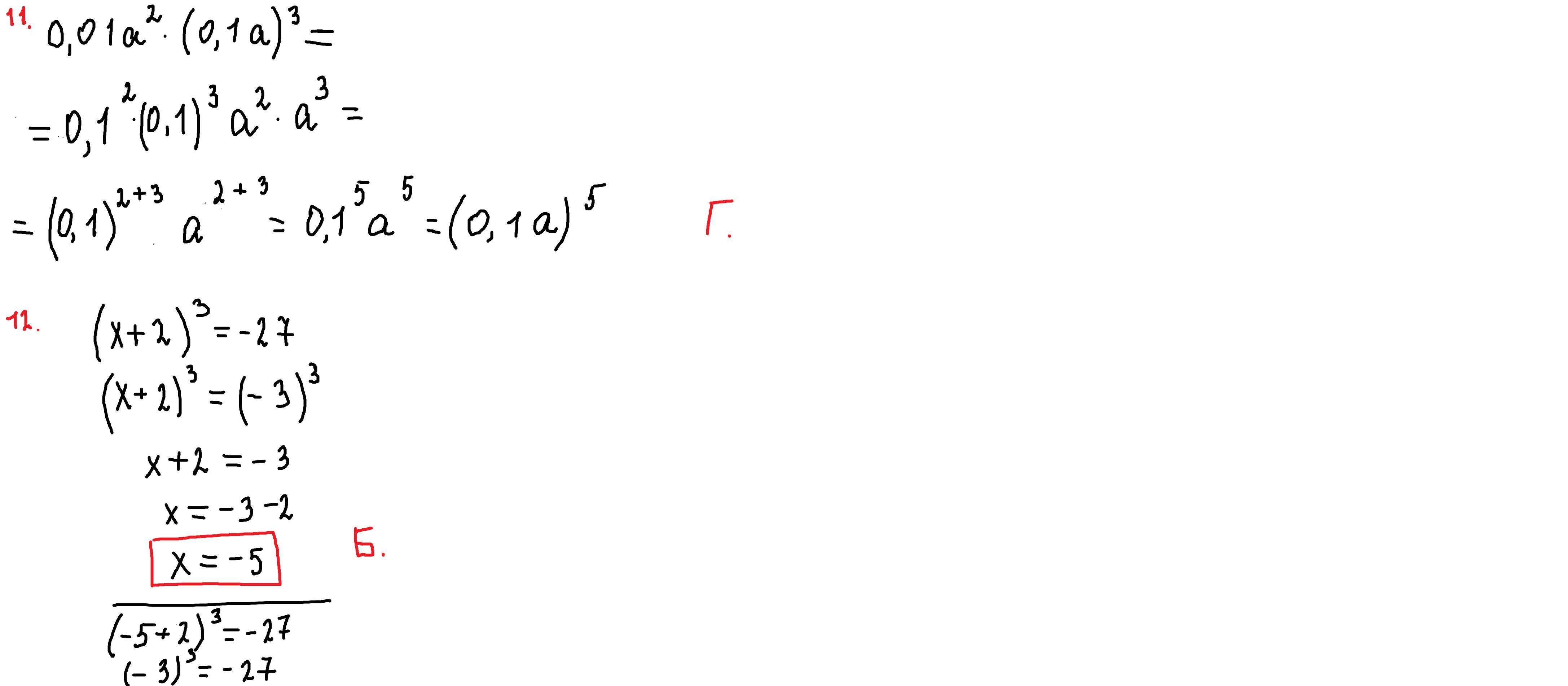
11. Г    12.Б

Объяснение:

решение внизу

Приложения:

vp2393709: ты ж мой спаситель
parus77: "спасительница".хоть фотку посмотри внимательно
vp2393709: посмотрела,мне откуда знать ты это или нет
Вас заинтересует