• Предмет: Алгебра
  • Автор: lisadghdgh
  • Вопрос задан 1 год назад

помогите пожалуйста!!!!​

Приложения:

Ответы

Ответ дал: orynbaevalejla718
0

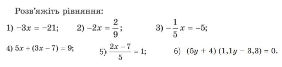
Ответ:

1) х = 7

2)х = (- 1/9)

3)х = 1/25

4) (5х + 3х)= 9 +7

8х = 16

х = 2

5) 2х =((-7 )+ 5 + 1)

2 х = -1

х = - 2

6) (5у + 1,1 у) = 0 - 4 + 3,3

6,1у = - 0,7

у = 8

Вас заинтересует