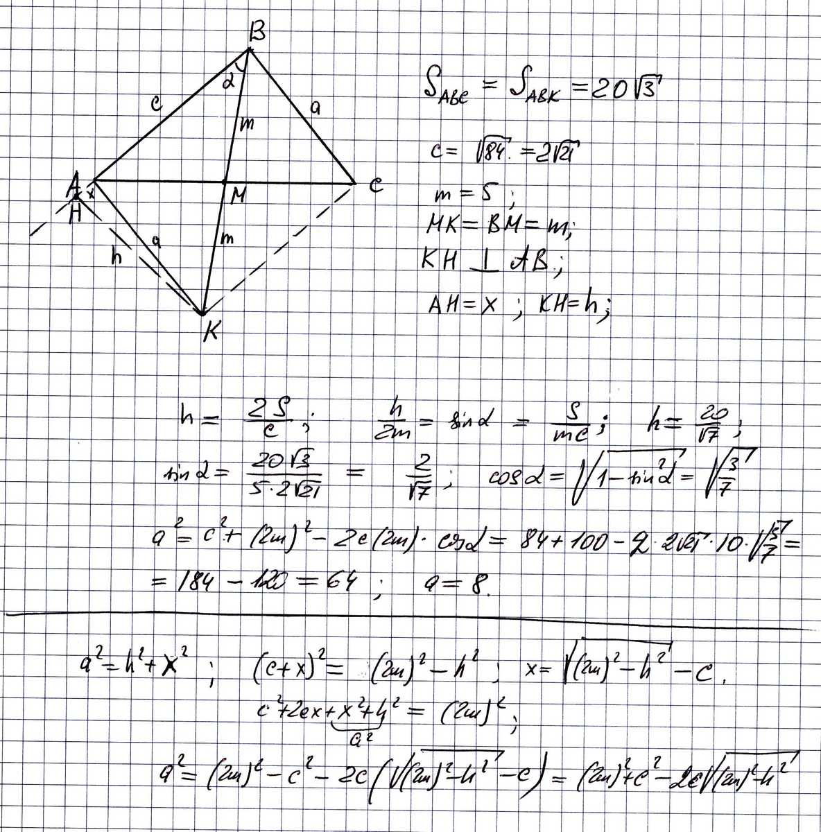
В треугольнике ABC сторона AB равна корень(84), и она больше половины АС. Найдите сторону ВС, если медиана ВМ равна 5, а площадь треугольника АВС равна 20корень(3)
Ответы
Ответ дал:
0
На чертеже 2 решения (точнее, различаются только способы расчета, второй способ совершенно равносилен первому, но не предполагает занкомства с синусами и косинусами).
Принцип решения такой - треугольник "достраивается" до параллелограмма АВСК, и рассматривается треугольник АВК, у которого АК = ВС, ВК = 10, и задана площадь (ясно, что SАКВ = SАВС).
Далее вычисляется высота к АВ, расстояние от В до основания высоты Н, из ВН вычитается длина АВ, и из прямоугольного треугольника АКН находится АК = ВС.
Ответ получился BC = 8.
Приложения:

Вас заинтересует
2 года назад
2 года назад
8 лет назад
8 лет назад
10 лет назад
10 лет назад