• Предмет: Алгебра
  • Автор: yaroslavorda456
  • Вопрос задан 2 года назад

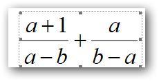
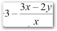
Помогите решить три примерв даю
100 балов

Приложения:

Ответы

Ответ дал: petrovnasona56
0

1) 2y/x

2) а² - ab/ab+b² (/ - это пишется как дробь)

3) b - a -1 + a²/ ab-a- b²+b (также пишется как дробь)


yaroslavorda456: Добавте пожалуста ответи к остальние двум вопросам
petrovnasona56: уже
Вас заинтересует