• Предмет: Алгебра
  • Автор: gunsnroses97
  • Вопрос задан 2 года назад

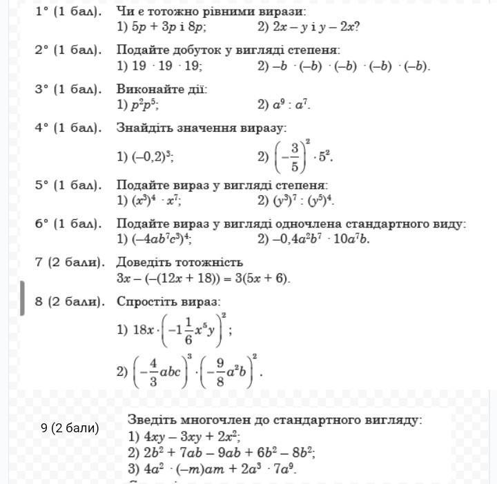
помогите пожалуйста срочно!! нужно сдать к 12:45!!​

Приложения:

Ответы

Ответ дал: bulvaru4
0

Ответ:1)2

2) 2

3)1

4)2

5)1

6)1

7)2

8)2

9 не могу решить

Объяснение:

Вас заинтересует