• Предмет: Математика
  • Автор: ueieidjd
  • Вопрос задан 2 года назад

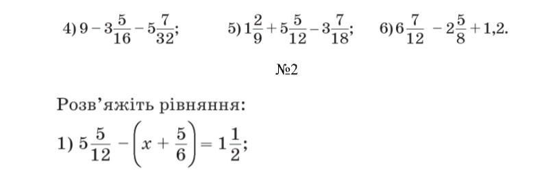
ПОМОГИТЕ.............​

Приложения:

Аноним: скину розв’язок інст @mathematic_89
sambirs907: А, який треба розв'язати?
ueieidjd: перший
ueieidjd: ну не один а всі в першому завданні

Ответы

Ответ дал: sambirs907
0

Це відповідь на фото зображено розв'язування

Приложения:
Вас заинтересует