• Предмет: Алгебра
  • Автор: playgams15
  • Вопрос задан 1 год назад

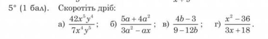
SROCHNOOOOOOOOOOOOOOOOOOOOOOOOOOOOOOOOOOOOOOOOO

Приложения:

Ответы

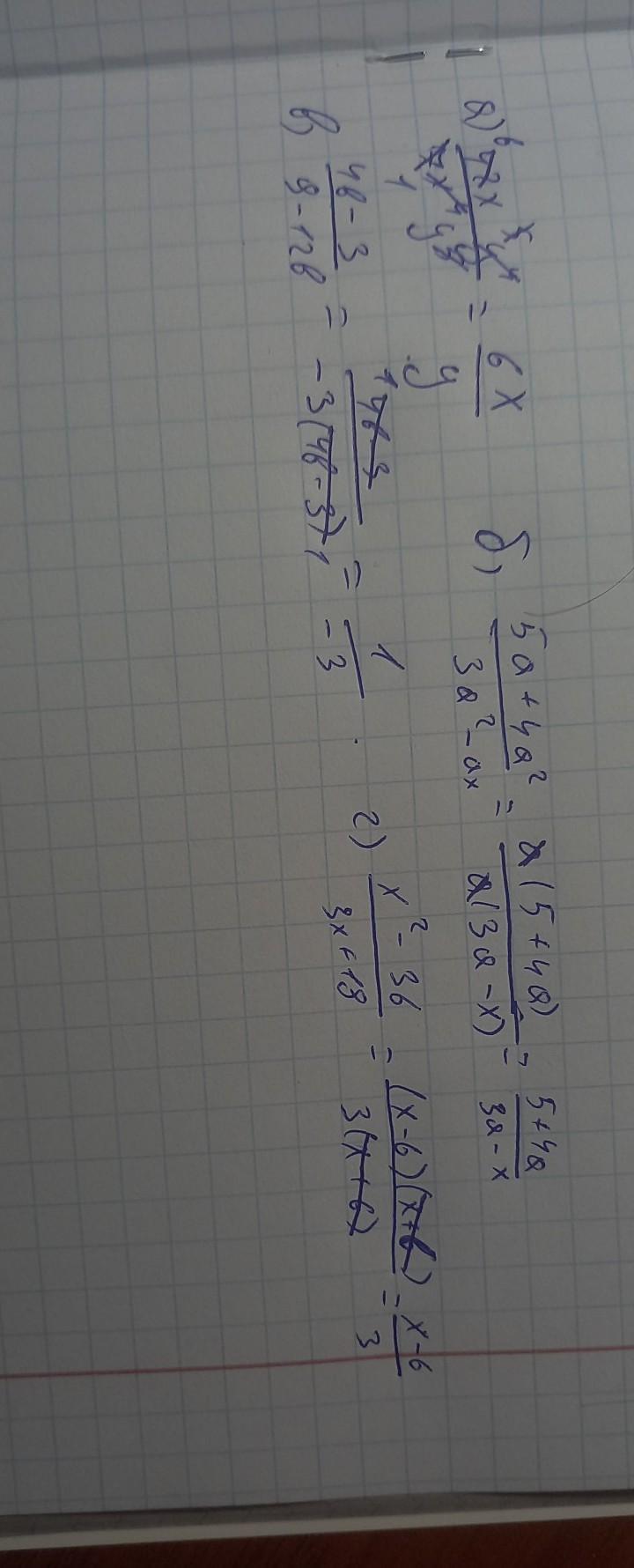
Ответ дал: fouzhi228
0

Ответ:

Лёгкое задание, не знаю успел я тебе помочь или нет

Приложения:
Вас заинтересует