Виконати множення одночленів та вказати його степінь.
Срочно пожалуйста!! Дам 50 баллов
Приложения:

Ответы
Ответ дал:
2
Ответ:
Объяснение:
решение внизу
Приложения:


Ответ дал:
1
Ответ:
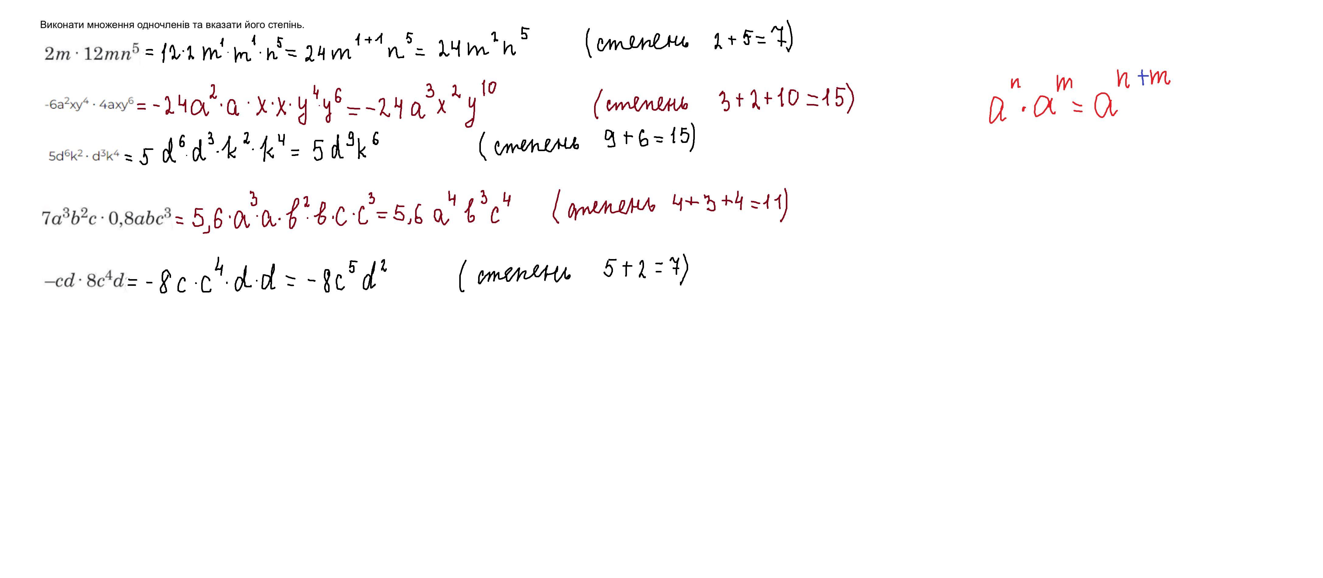
2m×12mn⁵=24m²n⁵
-6a²xy⁴×4axy⁶=-24a³x²y¹⁰
5d⁶k²×d³k⁴=5d⁹k⁶
7a³b²c×0,8abc³=5,6a⁴b³c⁴
-cd×8c⁴d=-8c⁵d²
Объяснение:
я зараз вчу многочлен і знаю що це все правильно
Вас заинтересует
1 год назад
1 год назад
1 год назад
2 года назад
2 года назад
8 лет назад
8 лет назад