Ответы
Ответ дал:
4
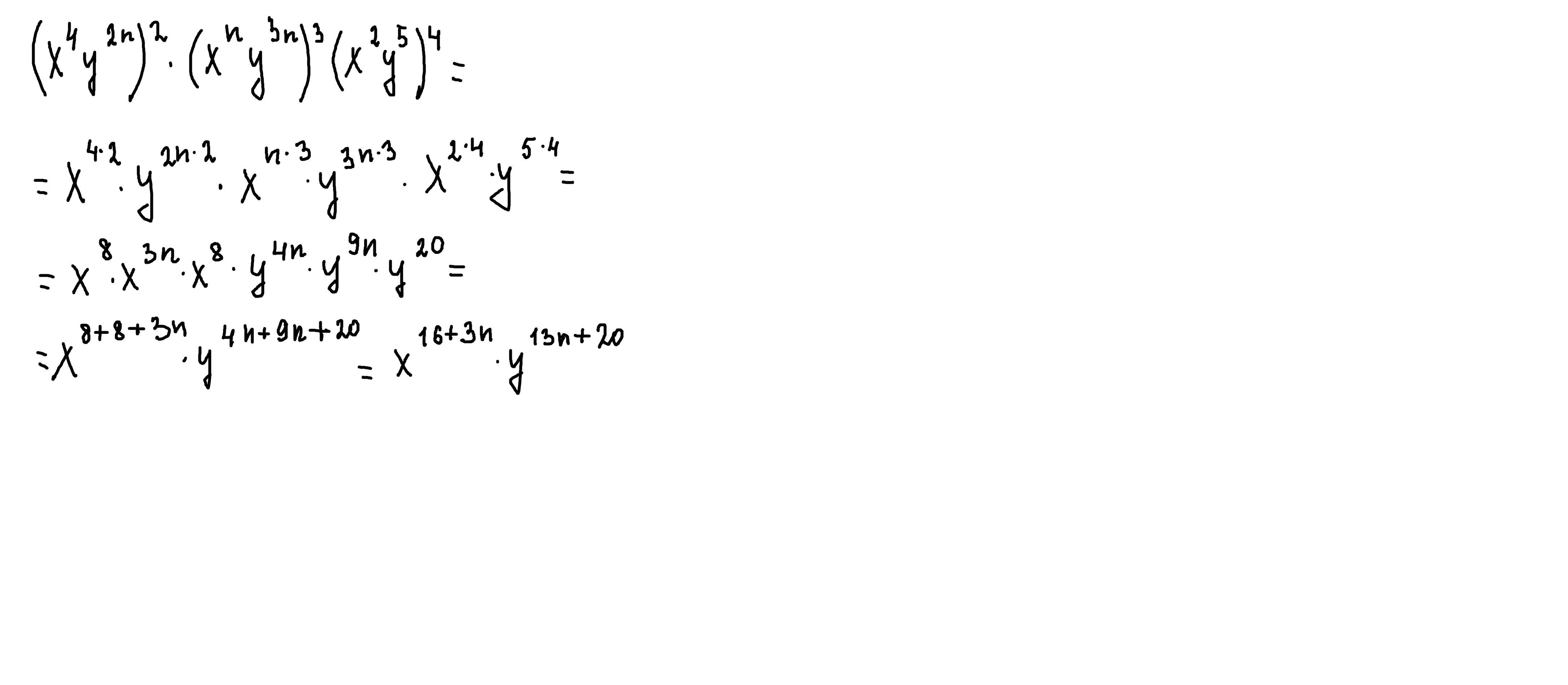
Ответ:
Пошаговое объяснение:
при возведении степени в степень показатели перемножаются,при умножении-складываются
Приложения:

Вас заинтересует
1 год назад
1 год назад
1 год назад
2 года назад
2 года назад