Ответы
Ответ дал:
0
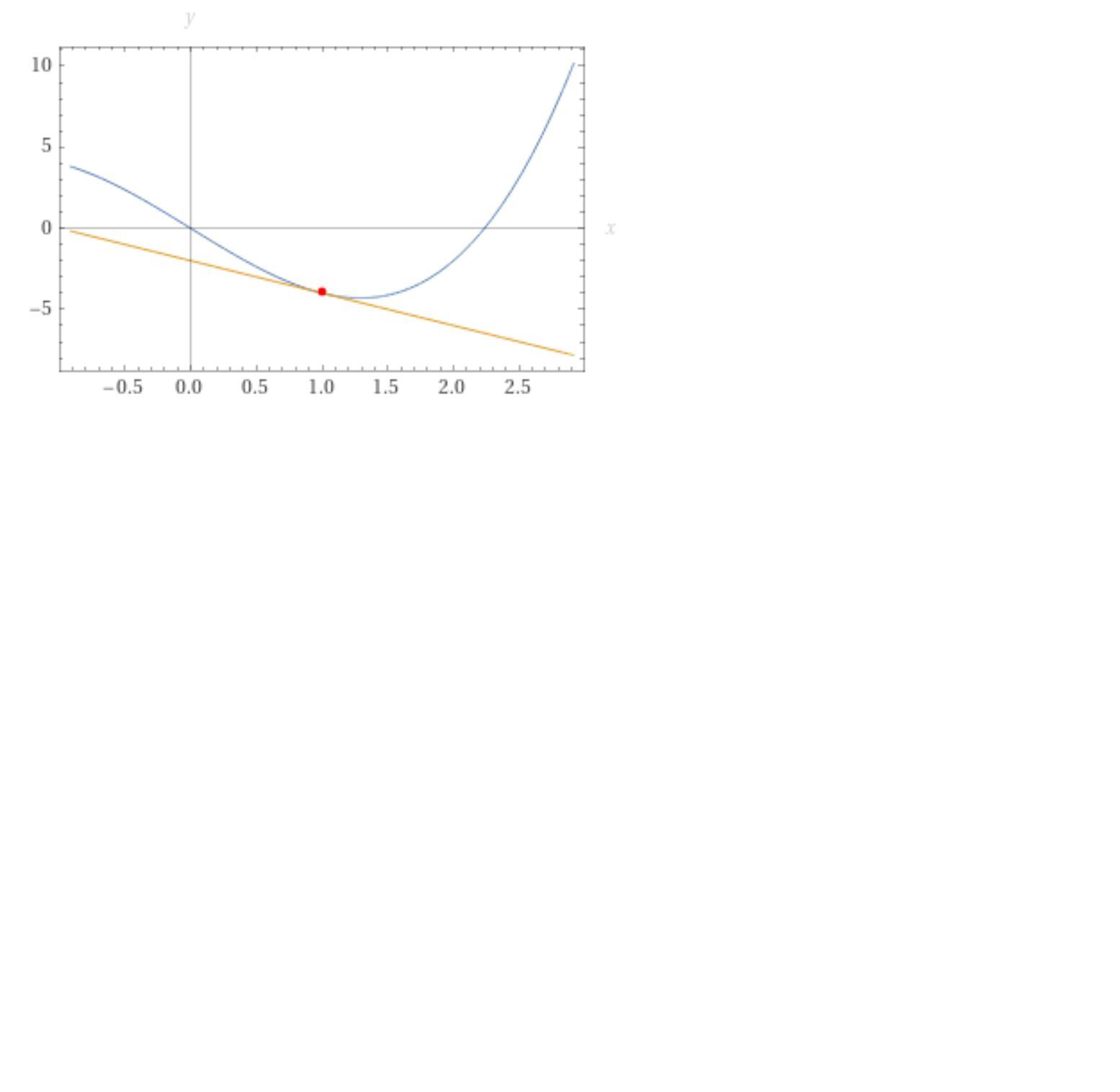
Ответ: -2x - 2.
Пошаговое объяснение:
Запишем уравнения касательной в общем виде:
yk = y0 + y'(x0)(x - x0).
По условию задачи x0 = 1, тогда y0 = -4.
Теперь найдем производную: y’ = 3x² - 5.
Cледовательно: f(1) = 3*1² - 5 = -2.
В результате имеем:
yk = y0 + y'(x0)(x - x0) = -4 + (-2)*(x – 1) = -2x – 2.
Приложения:

Вас заинтересует
1 год назад
1 год назад
1 год назад
2 года назад
8 лет назад
8 лет назад