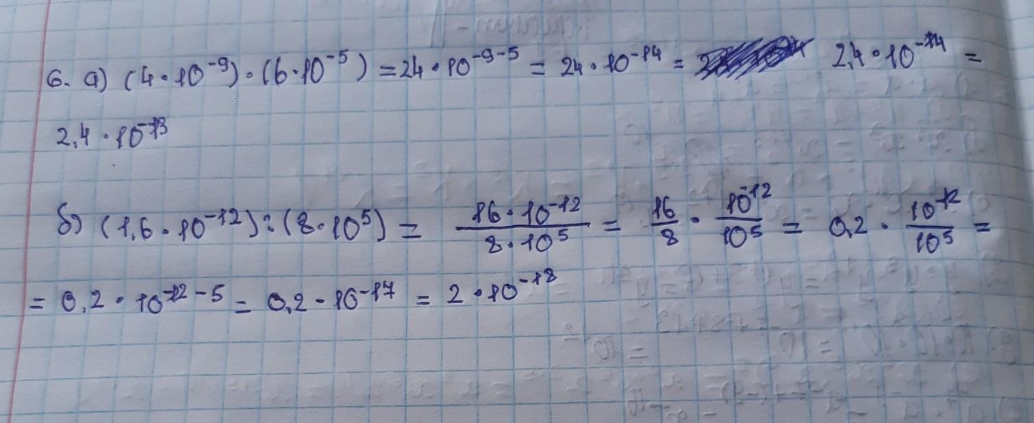
Виконай дії. Відповідь запиши в стандартному вигляді. А) (4 * 10-⁹)(6 * 10-⁵) = Б) (1, 6 * 10-¹²) / (8 * 10⁵) =
Ответы
Ответ дал:
2
Ответ:
дивись на фото ........... удачі в математиці
Приложения:

Вас заинтересует
1 год назад
1 год назад
1 год назад
2 года назад
8 лет назад
8 лет назад