• Предмет: Алгебра
  • Автор: acilovamir56
  • Вопрос задан 2 года назад

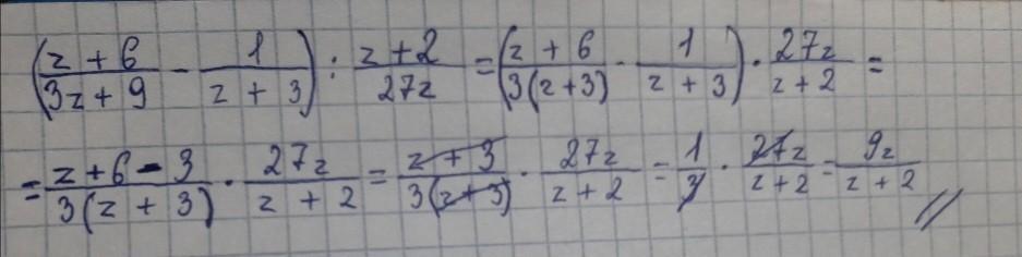
срочно нужна решение этой задачи дам 40 баллов​

Приложения:

Ответы

Ответ дал: amirroman1990
0

Ответ:

Обьяснение

Вроде правильно

Приложения:
Вас заинтересует