Ответы
Ответ дал:
2
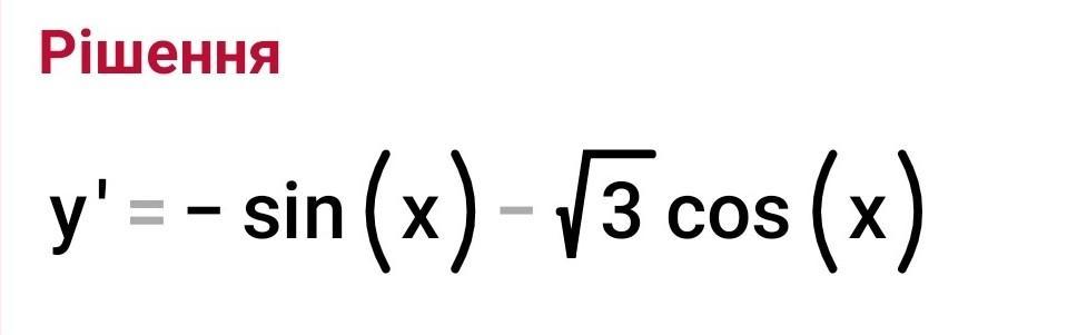
1) - це перша фотографія
2) - друга фотографія
3) - третя фотографія
Приложения:



Вас заинтересует
1 год назад
1 год назад
2 года назад
8 лет назад