• Предмет: Математика
  • Автор: zareckijmaks
  • Вопрос задан 1 год назад

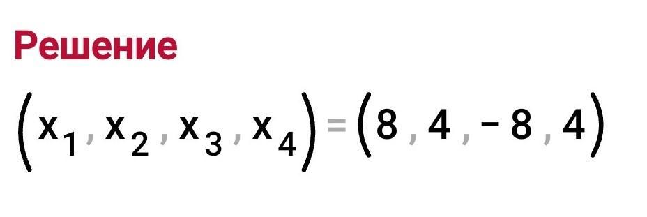
3.3. Розв’яжіть однорідну систему лінійних алгебраїчних рівнянь.
{x1 + x 2 + x 3 - x 4 = 0
{- x1 + x 2 - x 3 - x 4 = 0
{x1 — x 2 + 2 x 3 + 3 x 4 = 0 ,
{x1 + x2 + 2x3 + x4 = 0.

Ответы

Ответ дал: CaesarZeppeli00
0

Ответ:

думаю это правильный ответ, так как это приложение не может совершить ошибку

Приложения:
Вас заинтересует