• Предмет: Алгебра
  • Автор: Odiljon4039
  • Вопрос задан 2 года назад

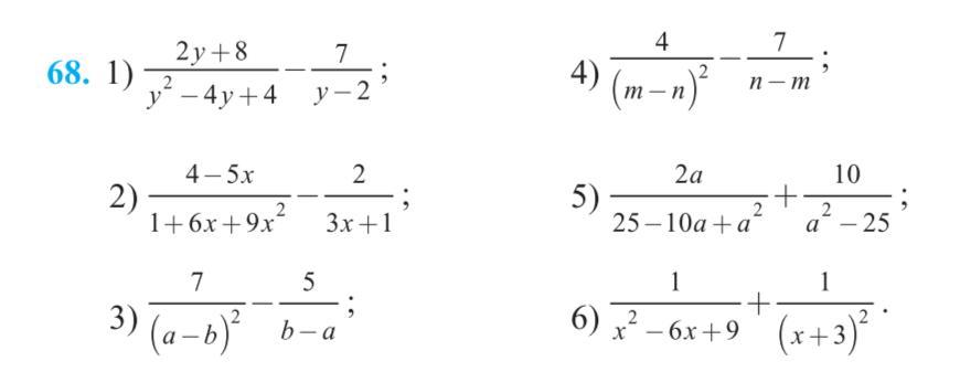
Сложите или вычтите алгебраические дроби:

Приложения:

Ответы

Ответ дал: yadykarovosman
0

Ответ:

незнаю хз

Объяснение:

хз аалалалалалвлвлвлвлвлвлвлал

Вас заинтересует