1)В равнобедренном треугольнике угол при основании на 15 градусов меньше,чем при вершине,противоположной основанию.Найдите углы этого треугольника.
2)Углы треугольника относятся как 1:2:3.Найдите их градусные меры.
Ответы
Ответ дал:
0
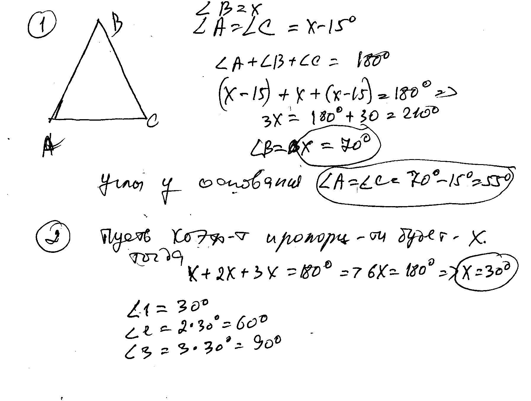
1)В
равнобедренном треугольнике угол при основании на 15 градусов
меньше,чем при вершине,противоположной основанию.Найдите углы этого
треугольника.
2)Углы треугольника относятся как 1:2:3.Найдите их градусные меры.
Приложения:

Вас заинтересует
2 года назад
8 лет назад
8 лет назад
10 лет назад
10 лет назад