• Предмет: Алгебра
  • Автор: wiwowok
  • Вопрос задан 2 года назад

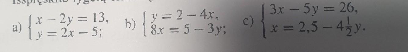
Решите систему управлений путём замены.

Приложения:

Ответы

Ответ дал: Zlkl13
0

Ответ:

a) x=-1, y=-7

б) x=0.25, y=1

в) x=7, y=-1

Объяснение:

а)

x-2(2x-5)=13\\x-4x+10=13\\-3x=3\\x=-1\\y=2x-5=2*(-1)+5=-2-5=-7

б)

8x=5-3(2-4x)\\8x=5-6+12x\\4x=1\\x=\frac{1}{4} =0,25\\y=2-4x=2-4*0.25=2-1=1

в)

3(2,5-4,5y)-5y=26\\\\7,5-13,5y-5y=26\\\\-18,5y=18,5\\y=-1\\x=2,5-4,5y=2,5-4,5*(-1)=2,5+4,5=7

Вас заинтересует