• Предмет: Алгебра
  • Автор: kamenkovaanastasia95
  • Вопрос задан 1 год назад

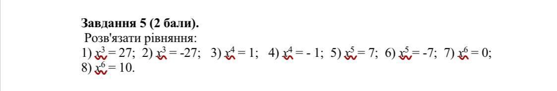
Допоможіть розв'язати рівняння 1і2 не треба

Приложения:

Ответы

Ответ дал: NNNLLL54
1

Ответ:

Решить уравнения .

1)  Используем формулу разности квадратов .

\bf x^4=1\ \ \ \Rightarrow \ \ \ x^4-1=0\ \ ,\ \ (x^2-1)(x^2+1)=0\ \ ,\\\\(x-1)(x+1)(\underbrace{\bf x^2+1}_{ > 0})=0\ \Rightarrow\ \ \ \ x-1=0\ \ ,\ \ x+1=0\\\\\underline{x_1=1\ ,\ \ x_2=-1}      

Можно решить так :

\bf x^4=1\ \ \ \Rightarrow \ \ \ x=\pm \sqrt[4]{\bf 1}\ \ ,\ \ x=\pm 1\ \ \ \Rightarrow\ \ \underline{x_1=-1\ ,\ \ x_2=1}

\bf 2)\ \ x^4=-1\ \ \ \Rightarrow \ \ \ \underbrace{\bf x^4+1}_{ > 0}=0\ \ \Rightarrow \ \ \ \underline{x\in \varnothing }            

Сумма неотрицательного выражения , \bf x^4\geq 0  ,  и  положительного ,\bf 1 > 0 ,  даёт положительное выражение , но не 0 .    

\bf 3)\ \ x^5=7\ \ \ \Rightarrow \ \ \ \underline{x=\sqrt[5]{\bf 7}}\ \ ,\\\\4)\ \ x^5=-7\ \ \ \Rightarrow \ \ \ \underline{x=\sqrt[5]{\bf -7}}\ \ ,\\\\5)\ \ x^6=0\ \ \ \Rightarrow \ \ \ \underline{x=0}\\\\6)\ \ x^6=10\ \ \ \Rightarrow \ \ \ x=\pm \sqrt[6]{\bf 10}\ \ \ \ \Rightarrow\ \ \underline{x_1=-\sqrt[6]{\bf 10}\ ,\ \ x_2=\sqrt[6]{\bf 10}}

Приложения:
Вас заинтересует